Jake Gunther
2020/15/1

\[ \begin{align} G_t &= R_{t+1} + \gamma R_{t+2} + \gamma^2 R_{t+3} + \cdots + \gamma^{T-t-1} R_{T} \\ V(S_t) &= V(S_t) + \alpha [G_t - V(S_t)] \end{align} \]
\[ \begin{align} G_{t:t+1} &= R_{t+1} + \gamma V(S_{t+1}) \\ V(S_t) &= V(S_t) + \alpha [G_{t:t+1} - V(S_t)] \end{align} \]
\(V(S_{t+1})\) used as a surrogate for returns following \(S_{t+1}\)
\[ \begin{align} G_{t:t+2} &= R_{t+1} + \gamma R_{t+2} + \gamma^2 V(S_{t+2}) \\ V(S_t) &= V(S_t) + \alpha [G_{t:t+2} - V(S_t)] \end{align} \]
\(V(S_{t+2})\) used as a surrogate for returns following \(S_{t+2}\)
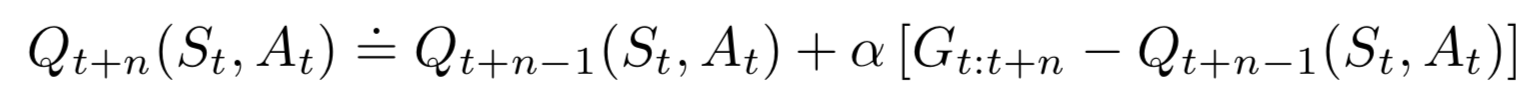
\[ \begin{align} G_{t:t+n} &= R_{t+1} + \gamma R_{t+2} + \cdots + \gamma^{n-1} R_{t+n} + \gamma^{n} V(S_{t+n}) \\ V(S_t) &= V(S_t) + \alpha [G_{t:t+n} - V(S_t)] \end{align} \]
\(V(S_{t+n})\) used as a surrogate for returns following \(S_{t+n}\)


Guarantees that \(n\)-step TD methods converge to \(v_\pi\)
One-step TD and MC methods are special cases





1-step strengthens only last action, \(n\)-step strengthens last \(n\) actions
more is learned from each episode



